Тест №9. НМТ математика 2025
Тест №9
Введіть ім'я:
Завдання 1–15 мають по п'ять варіантів відповіді, з яких лише ОДИН ПРАВИЛЬНИЙ. Виберіть правильний варіант відповіді й позначте його.
Завдання 1: Оберіть правильну відповідь:

А | Б | В | Г | Д |
Завдання 2: Оберіть правильну відповідь:

А | Б | В | Г | Д |
Завдання 3: Оберіть правильну відповідь:

А | Б | В | Г | Д |
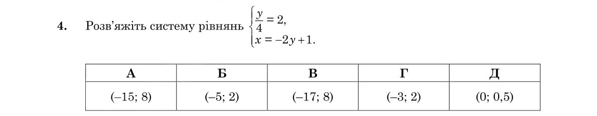
Завдання 4: Оберіть правильну відповідь:

А | Б | В | Г | Д |
Завдання 5: Оберіть правильну відповідь:

А | Б | В | Г | Д |
Завдання 6: Оберіть правильну відповідь:

А | Б | В | Г | Д |
Завдання 7: Оберіть правильну відповідь:

А | Б | В | Г | Д |
Завдання 8: Оберіть правильну відповідь:

А | Б | В | Г | Д |
Завдання 9: Оберіть правильну відповідь:

А | Б | В | Г | Д |
Завдання 10: Оберіть правильну відповідь:

А | Б | В | Г | Д |
Завдання 11: Оберіть правильну відповідь:

А | Б | В | Г | Д |
Завдання 12: Оберіть правильну відповідь:

А | Б | В | Г | Д |
Завдання 13: Оберіть правильну відповідь:

А | Б | В | Г | Д |
Завдання 14: Оберіть правильну відповідь:

А | Б | В | Г | Д |
Завдання 15: Оберіть правильну відповідь:

А | Б | В | Г | Д |
У завданнях 16–18 до кожного з трьох рядків інформації, позначених цифрами, доберіть один правильний на Вашу думку варіант, позначений буквою.
Завдання 16: Установіть відповідність:

А | Б | В | Г | Д | |
---|---|---|---|---|---|
1 | |||||
2 | |||||
3 |
Завдання 17: Установіть відповідність:

А | Б | В | Г | Д | |
---|---|---|---|---|---|
1 | |||||
2 | |||||
3 |
Завдання 18: Установіть відповідність:

А | Б | В | Г | Д | |
---|---|---|---|---|---|
1 | |||||
2 | |||||
3 |
Розв'яжіть завдання 19–22. Одержані числові відповіді запишіть у спеціально відведеному місці. Відповідь записуйте лише десятковим дробом, урахувавши положення коми. Знак «мінус» записуйте перед першою цифрою числа.
Завдання 19: Введіть відповідь числом або десятковим дробом:

Завдання 20: Введіть відповідь числом або десятковим дробом:

Завдання 21: Введіть відповідь числом або десятковим дробом:

Завдання 22: Введіть відповідь числом або десятковим дробом:
