Тест №10. НМТ математика 2025

Головна » Тренувальні вправи » НМТ математика 2025 » Тест №10. НМТ математика 2025
Тест на 22 завдання

Тест №10

Введіть ім'я:


Завдання 1–15 мають по п'ять варіантів відповіді, з яких лише ОДИН ПРАВИЛЬНИЙ. Виберіть правильний варіант відповіді й позначте його.


Завдання 1: Оберіть правильну відповідь:

Зображення до завдання 1
А Б В Г Д

Завдання 2: Оберіть правильну відповідь:

Зображення до завдання 2
А Б В Г Д

Завдання 3: Оберіть правильну відповідь:

Зображення до завдання 3
А Б В Г Д

Завдання 4: Оберіть правильну відповідь:

Зображення до завдання 4
А Б В Г Д

Завдання 5: Оберіть правильну відповідь:

Зображення до завдання 5
А Б В Г Д

Завдання 6: Оберіть правильну відповідь:

Зображення до завдання 6
А Б В Г Д

Завдання 7: Оберіть правильну відповідь:

Зображення до завдання 7
А Б В Г Д

Завдання 8: Оберіть правильну відповідь:

Зображення до завдання 8
А Б В Г Д

Завдання 9: Оберіть правильну відповідь:

Зображення до завдання 9
А Б В Г Д

Завдання 10: Оберіть правильну відповідь:

Зображення до завдання 10
А Б В Г Д

Завдання 11: Оберіть правильну відповідь:

Зображення до завдання 11
А Б В Г Д

Завдання 12: Оберіть правильну відповідь:

Зображення до завдання 12
А Б В Г Д

Завдання 13: Оберіть правильну відповідь:

Зображення до завдання 13
А Б В Г Д

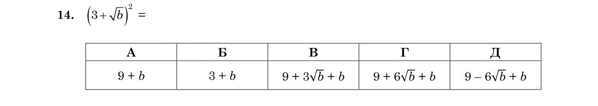
Завдання 14: Оберіть правильну відповідь:

Зображення до завдання 14
А Б В Г Д

Завдання 15: Оберіть правильну відповідь:

Зображення до завдання 15
А Б В Г Д

У завданнях 16–18 до кожного з трьох рядків інформації, позначених цифрами, доберіть один правильний на Вашу думку варіант, позначений буквою.


Завдання 16: Установіть відповідність:

Зображення до завдання 16
А Б В Г Д
1
2
3

Завдання 17: Установіть відповідність:

Зображення до завдання 17
А Б В Г Д
1
2
3

Завдання 18: Установіть відповідність:

Зображення до завдання 18
А Б В Г Д
1
2
3

Розв'яжіть завдання 19–22. Одержані числові відповіді запишіть у спеціально відведеному місці. Відповідь записуйте лише десятковим дробом, урахувавши положення коми. Знак «мінус» записуйте перед першою цифрою числа.


Завдання 19: Введіть відповідь числом або десятковим дробом:

Зображення до завдання 19

Завдання 20: Введіть відповідь числом або десятковим дробом:

Зображення до завдання 20

Завдання 21: Введіть відповідь числом або десятковим дробом:

Зображення до завдання 21

Завдання 22: Введіть відповідь числом або десятковим дробом:

Зображення до завдання 22